
In order to watch this solution you need to have a subscription.
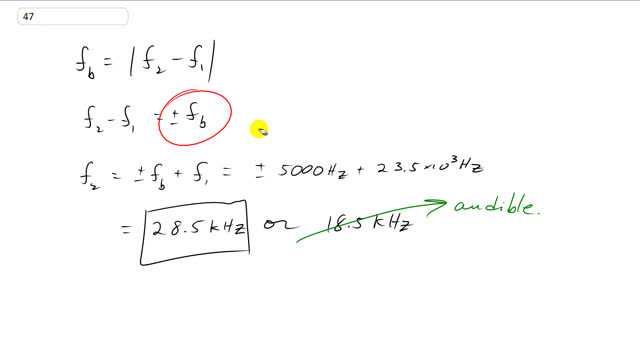
This is Giancoli Answers with Mr. Dychko. The beat frequency between the dog whistles is going to be the absolute value of their frequency difference. So, that means the frequency difference would be plus or minus the beat frequency. It's not clear whether the second dog whistle is higher or lower in frequency to the first. So, the second dog whistle is going to be plus or minus the b frequency plus the first dog whistle. So, that's plus or minus 5,000 hertz plus 23.5 kilohertz. And that makes either 28.5 kilohertz if you take plus 5,000 hertz. Or if you take negative 5,000 hertz then it's 18.5 kilohertz. But this would be audible because it's lower than the upper range of the audible range which is 22 kilohertz. And so we reject that possibility and say that the frequency of the second dog whistle must be 28.5 kilohertz.
