
In order to watch this solution you need to have a subscription.
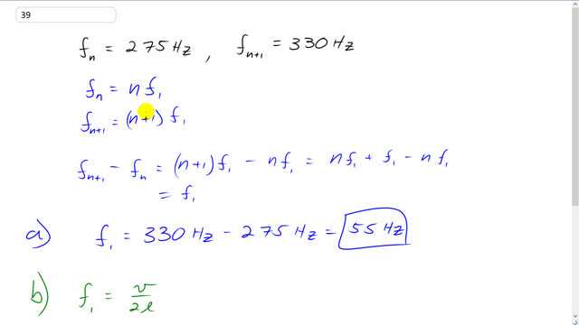
This is Giancoli Answers with Mr. Dychko. With an open tube, it's open at both ends, the fundamental is the difference between any 2 successive harmonics. But I'm gonna demonstrate that with a little bit of algebra here. So, we have the nth harmonic, we don't know whether is the first second, third or whatever it is, it's 275 hertz. And we know that the next one which is n plus 1 is going to be 330 hertz. So, the nth harmonic is n times the fundamental and the n plus 1 harmonic is going to be n plus 1 times the fundamental. And when you take the difference between these 2 frequencies, that's going to be n plus 1 times f1 because that's what f n plus 1 is. Minus n times f1. And then distribute the f1 into the brackets there and you have n f1 plus f1 minus n f1. And then these two things are the same with different signs, that means they cancel, leaving us with f1. So, this is just a complicated way of saying that the fundamental is the difference between any successive two harmonics. So, fundamental is 330 hertz minus 275 hertz which is 55 hertz. And the wave speed inside this tube is going to be given by this formula where the fundamental in an open ended tube is the wave speed divided by 2 l. And multiplied both sides by 2 l to solve for v. So, v is 2 times 1.7 meters times 55 hertz which is about 190 meters per second.
