
In order to watch this solution you need to have a subscription.
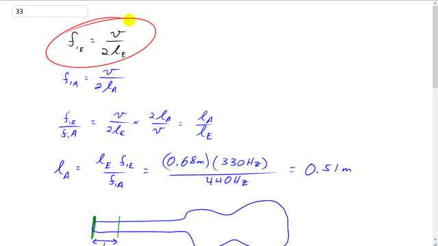
This is Giancoli Answers with Mr. Dychko. So, we have an expression for the fundamental frequency when we're playing an E above middle C so, that's when the string is unfit and that's going to be the speed of the wave on the string divided by 2 times the length of the string when it's playing an E as a fundamental. And then when you're playing an A the fundamental will be the wave speed in the string divided by 2 times the length of the string when you're getting an A. And so this is what we're gonna be solving for. We're gonna do that by taking f1 E and dividing it by f1 A. And so f1 E is v over 2 lE. And then dividing by f1 A is the same as multiplying by its reciprocal. So, we'll multiply by 2 lA over v, v's cancel and sort of the 2s. And they get this ratio of frequencies equals the ratio of lengths but, you know, opposite because the a is on top here whereas for frequency the E is on top anyhow. You take this and you multiply it by lE and do the same here. And you get that lA equals lE f1 E over f1 A. So, that's the length when the string is unfingered, 0.8 meters. And multiply that by the fundamental frequency when playing an E, that's 330 hertz. And divide that by the frequency when playing an A, 440 hertz, and that's 0.51 meters. So, the length of the string has to be 0.51. And so that's the length from here where it's fretted to the bridge on the guitar. So, this is lA is 0.51. And the length when it's unfingered is this full length here. This is l for an E and that's 0.68 meters. And so the distance from the tuning nut to where it must be fingered is d and that's going to be lE minus lA. So, that's 0.68 minus 0.51 which is 0.17 meters from the tuning nut is where the fret should be. The wavelengths on the string is going to be 2 times the length of the string because this is the fundamental that will fit between two nodes, just one antinode there. And so that's half a wavelength that you see drawn in solid blue, and so continue it on and started line here and you see a full wavelength is going to be twice l. So, that's 2 times 0.51 meters which is about 1.0 meters. The frequency and air will be the same as a frequency on the string. So, that's 440 hertz. However the wavelength in air will be different because the wave speed is different in the air versus the wave speed propagating along the string itself. So, divide both sides by f here. And you get λ is v over f. And so v is now 343 meters per second divide that by 440 hertz and you get about 0.78 meters for the wave length in air versus the 0.51 meters for the same node wavelength on the string.
The answer in the back of the book is 0.22m for part A
Hi ceward, thanks for the comment. I'm pretty sure in this case the solution in the back of the book is not correct. I double checked the calculations in the video, and it all checks out. Let me know if you notice any error in the working.
Best wishes,
Mr. Dychko
