
In order to watch this solution you need to have a subscription.
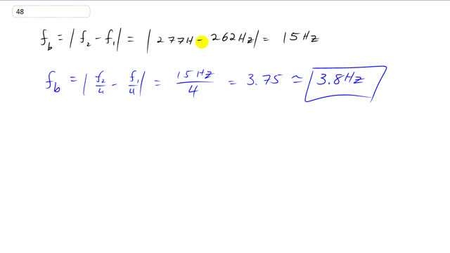
This is Giancoli Answers with Mr. Dychko. The beat frequency between a C and the middle C sharp is going to be the difference in their frequencies. So, that's 277 hertz minus 262 hertz which is 15 hertz. And then the beat frequency if both of these notes were played 2 octaves lower. Would be... So, the frequency is reduced by a factor of 4 in other words. Frequency 2 divided by 4 minus frequency 1 divided by 4, these are the new frequencies. And that means you can just take f2 minus f1 and divide all that by 4. And f2 minus f1 is 15. So, 15 over 4 gives about 3.8 hertz will be the beat frequency in that case.
