
In order to watch this solution you need to have a subscription.
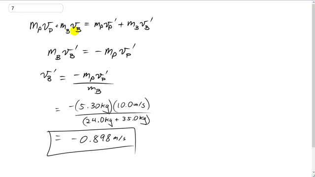
This is Giancoli Answers with Mr. Dychko. We start with just the textbook equation for conservation of momentum; the 'P' represents the package and then 'B' represents the combined boat and child and the prime means after the package is thrown and no prime means before the package is thrown. Well before the package is thrown, the package has no velocity obviously because it hasn't been thrown yet and neither does the child and boat have any velocity so both these terms are zero and our job is to solve for the velocity of the boat after the package is thrown. So let's first move this term to the left side which makes it negative so that's negative m Pv P prime and then switch the sides around so that we have this v B prime on the left side and then we'll divide both sides by mass of the boat-child combined and we have velocity of the boat and child, after the package is thrown, equals negative m Pv P prime over m B. So we have negative of 5.30 kilograms— mass of the package— times the 10 meters per second—velocity of the package after it was thrown— and in the picture, the package is thrown to the right and so we'll call that the positive direction so that makes this a positive velocity divided by 24 kilograms plus 35 kilograms— that's the child's mass plus the boat mass combined— and this gives negative 0.898 meters per second and the negative sign means the velocity of the boat is gonna be opposite to the velocity of the package.

