
In order to watch this solution you need to have a subscription.
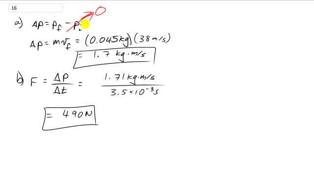
This is Giancoli Answers with Mr. Dychko. The impulse given to the golf ball is equal to its change in momentum that's final momentum minus initial momentum. but it has no initial momentum because it's at rest on the tee to begin with so P i is 0. So the change in momentum is equal to the final momentum and that's mass times its velocity so that's 0.045 kilograms times 38 meters per second which gives 1.7 kilograms meters per second of impulse. The force is impulse divided by the time during which that force is applied and so that's 1.71 kilograms meters per second. And notice that I'm using the unrounded number in this subsequent calculation so this avoids intermediate rounding error. So you don't wanna use a rounded answer in later calculations instead you should use the unrounded answer; only round final answers and when you are using those answers in later calculations, use the unrounded version. So I have 1.71 here so I plug that in for change of momentum and divide that by 3.5 milliseconds, the question tells us, and with two significant figures in our answer, we have 490 newtons must have been the force that the golf club applied to the ball.
