
In order to watch this solution you need to have a subscription.
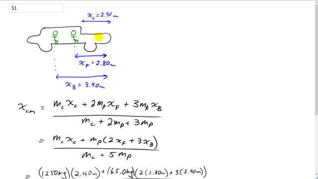
This is Giancoli Answers with Mr. Dychko. We are going to find the center of mass of this system consisting of the car and the passengers in the front seat and the passengers in the back seat; F for front and B for back and C for the position of the center of mass of the car itself— that is the empty car. So the center of mass of the system will be the mass of the car times the position of the car's center of mass plus 2 times the mass of a passenger times the distance to the front seat from the front of the car and it's times 2 because there's two passengers in the front plus 3 times the mass of people in the back multiplied by their distance from the front of the car, x B, divided by the total mass which is mass of the car plus five people. And we can, you know, collect some terms in the bottom to make it 5 times m P and then factor out the m P from the top if you like and then we plug in some numbers. So that's 1250 kilograms—mass of the car— times 2.40 meters plus 65 kilograms times 2 times 2.80 meters— distance from the front of the car to the front seat— plus 3 times 3.90 meters—distance from the front of the car to the back seat— divided by the total mass and this gives us 2.62 meters is the center of mass of the system after the people get into the car that's the distance from the front of the car.
Why did you not multiply three times 65 for the three passengers?
Hi celloplayer091, thanks for the question. There is a factor of , because of the 3 rear seat passengers, multiplying by their distance from the front of the car (3.90m), and then a factor multiplying by the distance to the two front seat occupants (2.80m). It sounds like you were expecting the factors of and to multiply by masses instead of distances, and that would work fine if you didn't "factor out" the . For example, we could re-write the second line of algebra as , and this would be the same as the version shown in the video with the factored out.
Hopefully that helps,
Mr. Dychko
