
In order to watch this solution you need to have a subscription.
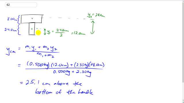
This is Giancoli Answers with Mr. Dychko. The portion of this mallet that will follow a parabolic trajectory when it's thrown is the point that's at the centre of mass. So we have to figure out when the mallet is in this upright position, where will the centre of mass be? So we have the handle is 24 centimeters— I converted that 0.24 meters in 24 centimeters because it's just easier to talk about centimeters in this case— and the mallet head is 8 centimeters. And so the distance above our reference point here at the bottom to the center of the mass of the handle is the handle's length 24 divided by 2 so that's 12 centimeters and the distance from the bottom of the handle to the middle of the mallet head is gonna be the handle length plus half the mallet diameter so that's 24 plus 4 is 28.0 centimeters. And then we'll take each of those distances and multiply them by the respective masses and divide by the total mass to get the y-position of the centre of mass. So the mass of the handle is 0.500 kilograms multiply that by 12 centimeters to its centre of mass and then plus 2.30 kilograms— mass of the mallet head— times 28.0 centimeters divided by the total mass and that gives 25.1 centimeters above the bottom of the handle is gonna be the centre of mass and that's just here above the handle a bit because the handle's 24 and the centre of mass is at 25.1 and that's the point that will follow a parabolic trajectory even as this mallet is spinning around and around, you'll still see a nice parabola followed by that centre of mass.

