
In order to watch this solution you need to have a subscription.
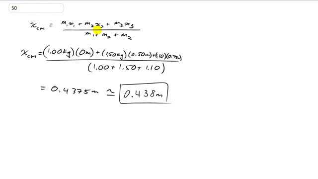
This is Giancoli Answers with Mr. Dychko. The center of mass for a three-particle system is found by taking the mass of particle one times its distance from some reference point x 1 plus the mass of particle two times its distance from that same reference point plus the mass of particle three times its distance from that same reference point. So we'll choose the reference point to be the position of particle one in which case, its distance is 0 and then we'll take 1.50 kilograms— that's the middle particle— and it's 0.5 meters away from that reference point and then particle three which is 1.10 kilograms is a total of 0.25 plus 0.50 which is 0.75 meters from that reference point from particle one and divide by the total mass and you get a position of 0.438 meters from the 1 kilogram mass will be the center of mass.

