
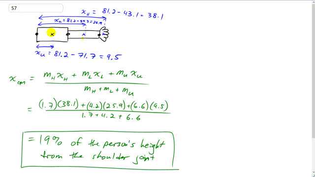
At 1:28 Mr. Dychko should have said "25.9 for the lower arm", not "25.5". What's written is correct.
In order to watch this solution you need to have a subscription.
This is Giancoli Answers with Mr. Dychko. We are going to find the center of mass of this outstretched arm. We need to find the center of mass of each part of the arm; the upper arm, the lower arm and the hand you know, this table gives us that information but it tells us that info as a percent height above the floor so instead we have to turn those into distances from this shoulder joint. So the shoulder joint is 81.2 percent of the person's total height above the floor and the center of mass of the upper arm is 71.7 percent of the height above the floor and subtract the two and we'll get the percent of a person's height distance of this center of mass of the upper arm from the shoulder and then it's the same process for the lower arm and the hand. So you see 81.2 repeated in each of these cases because we are always measuring with respect to the shoulder joint. And the second number here—this 55.3— is the position of the center of mass of the lower arm and this 43.1 is the height of the center of mass of the hand above the floor. And so we get positions for the center of mass of each of these things with respect to the shoulder joint here so 38.1 with the hand, 25.9 for the lower arm and 9.5 for the upper arm. So then we take each of those distances labeled x here; x hand, x lower arm and x upper arm and multiply by the mass of each of those parts and divide by the total mass and so we get 1.7 is the mass of the hand— that's the percent of the person's total mass contained within the hand— times this 38.1 plus 4.2 is the total percent mass in the lower arm times its center of mass 25.9 percent of the person's total height from the shoulder joint plus 6.6 times 9.5 divided by the total mass and this gives 19 percent of the person's height from the shoulder joint will be the position of the center of mass of this whole system of upper arm, lower arm and hand.

