
In order to watch this solution you need to have a subscription.
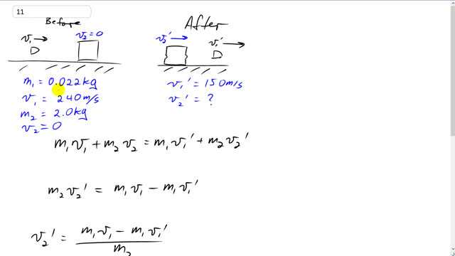
This is Giancoli Answers with Mr. Dychko. Before the bullet hits the block, the bullet is traveling at 240 meters per second and I have written down all the information we know; the bullet has a mass of 22 grams, which in kilograms is 0.022 kilograms, and the mass 2 has a mass of 2 kilograms. And then after the bullet hits the block, it actually goes through the block and emerges with a speed of 150 meters per second and so this collision is gonna obviously cause the block to move a bit too and our question is what speed will the block have after the bullet has gone through it? So we assume that there's no friction which simplifies things and we can use this conservation of momentum formula and let's say, this term here disappears because v 2 is zero, the velocity of the block, v 2, before the collision is zero and so we are gonna be solving for v 2 prime so we are gonna isolate that term by first moving this term to the left by subtracting it from both sides and we end up with m 1v 1 minus m 1v 1 prime and we'll switch the sides around so we have this v 2 prime term on the left and we'll divide by this factor, m 2, both sides and we get v 2 prime—velocity of the block after the bullet has gone through it— is m 1v 1 minus m 1v 1 prime over m 2 and we can factor out this common factor m 1 as well—just to be slick— and you have m 1 times bracket v 1 minus v 1 prime over m 2. So that's 0.022 kilograms— mass of the bullet— times 240 meters per second minus 150 meters per second divided by 2 kilograms—mass of the block— and the block will be moving at 0.99 meters per second and the positive sign means it will be moving in the same direction as the bullet.
