
In order to watch this solution you need to have a subscription.
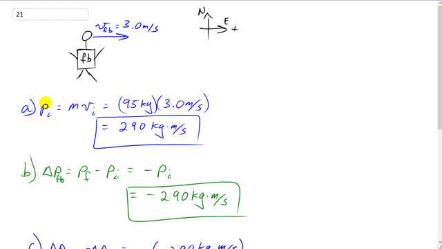
This is Giancoli Answers with Mr. Dychko. We'll choose east to be the positive direction which gives this fullback's initial velocity positive 3.0 meters per second. And so the initial momentum of the fullback is gonna be his mass times his initial velocity so it's 95 kilograms times 3.0 meters per second and that gives 290 kilograms meters per second when you round it to two significant figures. And the change of momentum of the fullback is gonna be final momentum minus initial momentum but the final momentum is zero because he comes to a stop and so the impulse then is gonna be negative of the initial momentum so that's negative 290 kilogram meters per second. And then the change of momentum of the tackler is gonna be equal magnitude but opposite direction as the change of the momentum of the fullback because the tackler and fullback together make up our closed system so the change in momentum of one part of the closed system has to be equal but opposite sign to change in momentum of the other part so that their total change is zero because the total change in momentum of any closed system is always zero. And so that's negative of negative 290 so we get 290 kilograms meters per second is the impulse on the tackler. And the force on the tackler is gonna be the impulse that the tackler experiences divided by the time over which that force is applied so that's 285 kilograms meters per second; notice I'm using the unrounded number in our calculation as we always should, we don't want to introduce intermediate rounding error by using a rounded answer in a calculation we do later instead we always use unrounded numbers within calculations and round only final answers. So that's 285 divided by 0.85 seconds which gives 340 newtons which is positive and so that means it's to the right of force on the tackler.
