
In order to watch this solution you need to have a subscription.
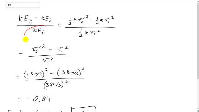
This is Giancoli Answers with Mr. Dychko. The fractional change in kinetic energy is gonna be the total final kinetic energy of the system minus the total initial kinetic energy that the system has divided by the total initial kinetic energy. So in the final case, there's only one car moving that's car 2 the one that was initially at rest and the kinetic energy then is gonna be one-half its mass times v 2 prime squared—prime meaning after its been hit by the car from behind. I'm not using a subscript on the m's because we are told that the mass of each car is the same so I'm just using letter m, no 1 or 2 needed there. And then minus the total initial kinetic energy which is just that of the car that was approaching—car 1— so that's one-half mv 1 squared and all that's divided by one-half mv 1 squared. So the one-half m is a common factor that cancels on top and bottom so we are left with just v 2 prime squared minus v 1 squared all over v 1 squared. So plug in 15 meters per second— is the velocity of the car that was hit from behind— and minus 38 meters per second squared and then divide by 38 meters per second squared and then you get negative 0.84; the negative sign means that there's been a loss in kinetic energy here. So the fraction of kinetic energy lost is gonna be 0.84.
This is not the answer that is given in my hard copy book. And listening to the video, I don't believe it is talking about the correct question. My #39 talks about a croquet ball A and B
Thanks a lot for your comment klgully. Are you using the new "Global Edition"? I have ordered a copy, and apparently some of the problem numbering is slightly different from the version sold in the US. I'll be looking into this soon.
Cheers,
Mr. Dychko
I have also noticed that this answer is incorrect from the book's answer key section. The given information does not seem to add up to Giancoli's question #39, I believe this may be a completely different question. I am using the seventh edition book and I believe it is not the "Global Edition", although the other questions have been correct so far.
Hi grjoav, thanks for the comment. In the Global Edition, Chap. 7 #39 is about a baseball hitting a brick, whereas in the regular 7th Edition Chap. 7 #39 is about two cars colliding, as covered in the video. What is the difference you're finding between what's in your text versus what's covered in the video?
The problem in my book is also the one with the croquet balls. The answer is 0.25, and it's solved similarly to this problem. You just need to solve for the v1' first.
