
In order to watch this solution you need to have a subscription.
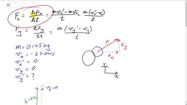
This is Giancoli Answers with Mr. Dychko. Momentum is conserved independently in the x and y directions so we can write this formula for the net force on the ball in the x direction being the change in momentum in the x direction divided by time and then separately we can say, the force on the y direction is the change in momentum in the y direction divided by time and so we are gonna find the two components of this total force and then use Pythagoras to combine them to figure out the magnitude of the resultant and then take the inverse tangent of the y component divided by the x component of the force to find this angle Θ with respect to horizontal. So we'll take the x direction to be positive to the right supposing this baseball approaches the bat from the left with an initial velocity we'll call this v x with no prime on it and that's gonna be negative 27 meters per second; the ball has a mass of 0.145 kilograms; its final x component of its velocity will be zero because it shoots straight up which means it has no x velocity anymore after the collision and before colliding with the baseball bat, the ball has zero y component to its velocity because it's going straight horizontal and after it collides with the bat, 2.5 milliseconds later, it has some significant y component to its velocity because it's launched 31.5 meters up into the air. So the first step in answering all of this stuff, is to figure out what will the y component of the ball's velocity be after it collides with the bat and we use kinematics to figure that out and we have this, we can just reduce it to this projectile that's being launched straight up that has some final velocity of zero when it gets to the top of its height and has some initial velocity here that we need to calculate because this v initial here is the v y prime in this picture; it's the velocity that the ball is being launched up with after it's in contact with the bat. So we have this formula from kinematics that says the final velocity squared is initial velocity squared plus 2 times acceleration times distance traveled and we know that the final velocity will be zero at the top here and then we can move this term to the left by subtracting it from both sides switch the sides around, take the square root of both sides and we get v initial is square root of negative 2ad; acceleration is that due to gravity and it is negative 9.8 meters per second squared, negative because it's directed down and this negative and this negative makes a positive which is nice and times 2 times 31.5 meters—distance that it travels upwards— and that means after contacting the baseball bat, the ball has a velocity of 24.8475 meters per second upwards. So v y prime, y component of the ball's velocity, prime after colliding with the bat is 24.8475. Okay. So I guess I didn't show that in the calculator, I just have the work for calculating the force and the angle here so you know, I'll put that way for a second. I'm gonna do lots of algebra here, well, not lots but I mean more than I have to just because it's kinda fun to do algebra I think to, you know, show that this force can be reduced to this formula here. So you could calculate each of these force components if you wanted as numbers and then combine the square's of each of them and then square root that sum that would be fine but what I'm gonna do instead is write them algebraically instead of as numbers. So I'm taking the x-component and the y-component of force squaring each one within this square root sign— this is Pythagoras here because, you know, this resultant is the hypotenuse of this right triangle here— and we have m squared over t squared times v x prime minus v x squared plus m squared over t squared times v y prime minus v y squared and the m squared over t squared is a common factor between the two so we can factor them out and then we can even take it out of the square root sign by taking the square root of that m squared over t squared which makes m over t and then what we are left with inside is—v x prime is zero—so we are left with just negative v x squared and then the initial y-component of the ball's velocity is zero so we have just v y prime squared here and then we can plug in numbers, which we are going to in a second, but let's do the algebra with the angle too; the angle is gonna be the inverse tangent of the y-component of the force divided by the x-component of the force and so that's the inverse tangent of F y which is m bracket v y prime minus v y bracket over t— that's copying this one here— and then we are gonna divide by F x but instead of dividing by this fraction, it's a lot easier to multiply it by its reciprocal easier to look at anyway because then we'll see that these t's cancel and the m's cancel and we are left with and this v y, y component initial is zero and this v x prime is zero. Okay. So we have inverse tangent of v y prime over negative v x. So let's plug in numbers and get it all done. So we have 0.145 kilograms over 2.5 milliseconds— milli means times 10 to the minus 3 seconds— times the square root of negative 27 meters per second squared plus 24.8475 meters per second squared that gives 2100 newtons is the resultant force magnitude and then the angle is the inverse tangent of these numbers here and you get 43 degrees. So the final answer is 2100 newtons, 43 degrees above horizontal is the force applied by the bat on the ball.
