
In order to watch this solution you need to have a subscription.
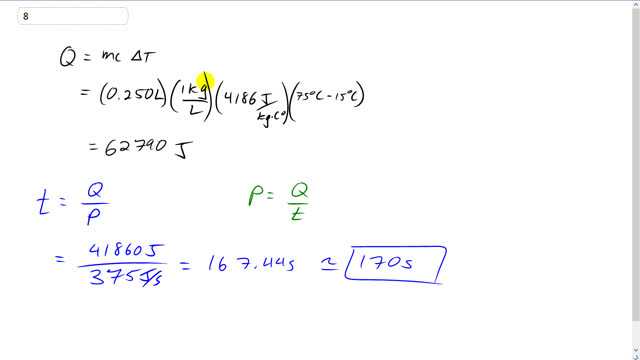
This is Giancoli Answers with Mr. Dychko. First we'll calculate the amount of energy absorbed by the soup, and that's 250 milliliters is 0.25 liters, and times by the density of water, 1 kilogram per liter, to get the mass, that together that makes the mass. And then times by 4,186 joules per kilogram Celsius degree in that specific heat capacity of water and then times by the change in temperature, final temperature of 75 degrees Celsius minus the initial temperature of 15. And you get 62,790 joules of energy need to be gained by the soup. So, power is energy divided by time, energy in this case is Q. And then we'll solve for t by multiplying both sides by t over p. So, on the left side were left with t, on the right side we're left with a Q over p. So, energy gained is heat divided by power. So, that's, 62,790 joules divided by 375 watts but watts are joules per second. And in this gives about 170 seconds.
value for q is wrong
