
In order to watch this solution you need to have a subscription.
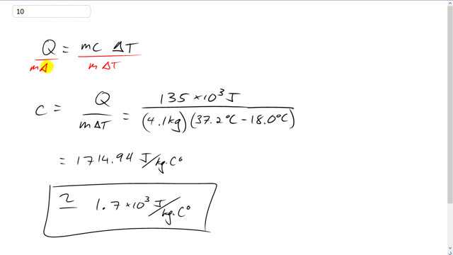
This is Giancoli Answers with Mr. Dychko. We can solve this formula for heat gain by a substance for c the specific heat capacity by dividing both sides by mass times change in temperature. So, c is Q over m ΔT, and it absorbs 135 times 10 to the 3 joules divided by 4.1 kilograms times 37.2 degrees Celsius, final temperature, minus 18 degrees Celsius, initial temperature. And we get about 1.7 times 10 to the 3 joules per kilogram Celsius degree is the specific heat capacity of this metal.
