
In order to watch this solution you need to have a subscription.
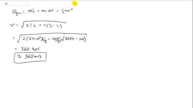
This is Giancoli Answers with Mr. Dychko. The heat gained by the lead bullet is going to equal the kinetic energy that it had to begin with. And so the minimum speed, we'll calculate by substituting in a final temperature of the melting point of lead, 327 degrees Celsius. And it might have gotten even hotter than that, we don't know. But this will at least give us a minimum speed, because it certainly got at least that hot since it all turned into liquid. And not only did the temperature increase for the lead but also there is enough energy absorbed to change its phase from solid into liquid. So, that's mass times latent heat of fusion there. So, we multiply both sides by 2. And then the m's cancel everywhere, that's kind of nice. And then take the square root of both sides. And the minimum speed is square root 2 times 25 times 10 to the 3 joules per kilogram, latent heat of fusion for lead, plus the specific heat of solid lead, 130 joules per kilogram Celsius degree, times, at least 327 degrees Celsius for a final temperature, minus 20 degrees Celsius, initial temperature. And that gives about 360 meters per second was the minimum speed possible for the bullet.
