
In order to watch this solution you need to have a subscription.
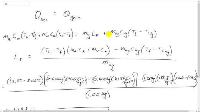
This is Giancoli Answers with Mr. Dychko. The water and aluminum in the calorimeter will lose some energy and the Mercury is going to gain some energy. And the Mercury will gain energy to, first of all, change its phase from solid into liquid. So, that'll be mass of Mercury times the latent heat of fusion and then after it's all liquid, it'll increase its temperature and absorb this much energy as a result of increasing its temperature. That'll be the mass of Mercury times the liquid Mercury's specific heat times the final temperature minus the initial temperature of the Mercury which is going to be, well, it starts at its melting point. So, that's the temperature we put in there, negative 39 degrees Celsius. So, on the calorimeter side of it, we have the energy lost by the aluminum, mass of aluminum times its specific heat times the initial temperature of the calorimeter minus the final temperature. And then for the water it's mass of water times specific heat of water times the same initial temperature of the calorimeter. The water and the aluminum together make up the calorimeter and they both start with the same initial temperature, all 3 things end up with the same final temperature. And then we can solve for LF, the specific heat of fusion for Mercury, by taking... We'll take this term to the left side which makes it a minus mHg cHg, Tf minus TiHg. And I factored out this TIc for calorimeter minus TF from both of these two terms. So, you see that in brackets there times mass of aluminum, specific heat of aluminum plus mass of water times specific heat of water. And then divide both sides by the mass of Mercury after you've done this, moving this term over there. And then switch the sides around as well. So, specific heat of fusion for Mercury is the difference in temperatures here times this, all this stuff, I think I've kind of covered it here. And the numbers are the initial temperature for the calorimeter is 12.8 degrees Celsius minus the final temperature of 5.06 degrees Celsius. And then we multiply that by 0.62 kilograms of aluminum times 900 joules per kilogram Celsius degree, specific heat of aluminum, plus 0.4 kilograms of water times 4,186 joules per kilogram Celsius degree, and then minus the 1 kilogram of Mercury times its specific heat when it's liquid of 138 joules per kilogram Celsius degree times the final temperature of 5.06 degrees Celsius minus negative 39 degrees Celsius. That ends up being a plus in there. And then divide that by the mass of Mercury, 1 kilogram. And this gives about 1.5 times 10 to the 4 joules per kilogram, latent heat of fusion for Mercury.
