
In order to watch this solution you need to have a subscription.
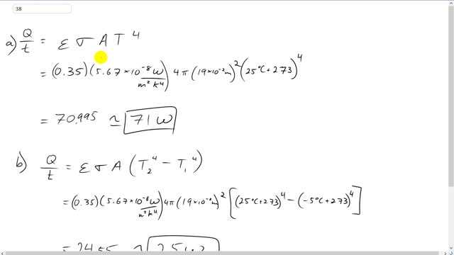
This is Giancoli Answers with Mr. Dychko. The rate of heat transfer by radiation is equal to the emissivity of this tungsten sphere multiplied by Stefan-Boltzmann's constant times the surface area of the sphere times its temperature to the power 4. And temperature has to be in absolute temperature in kelvin. So, the emissivity of tungsten is 0.35 times by 5.67 times 10 to the minus 8 watts per square meter times kelvin to the power 4, Stefan-Boltzmann's constant, times the surface area of a sphere which is 4π times its radius, 19 times 10 to the minus 2 meters squared, and then times by 25 degrees Celsius converted into kelvin by adding 273 to the power of 4. And this makes 71 watts is the rate of heat transfer out by radiation. Now, this tungsten sphere is not in some sort of, you know, deep space, it's has a room around it which also has a temperature, and the room is emitting radiation at the tungsten sphere as well. So, there's radiation going out and there's radiation coming into this sphere. And the net result is emissivity times Stefan-Boltzmann's constant times its area times the difference in the temperatures to the fourth power. So, we have 0.35 times 5.67 times 10 to the minus 8 times 4π times 19 times 10 to minus 2 meters squared times the temperature of the tungsten sphere in kelvin to the power of 4 minus the temperature of the surrounding room minus 5 degrees Celsius plus 273 to the power 4. And this gives about 25 watts is the net rate of energy loss from the tungsten sphere by radiation.
