
In order to watch this solution you need to have a subscription.
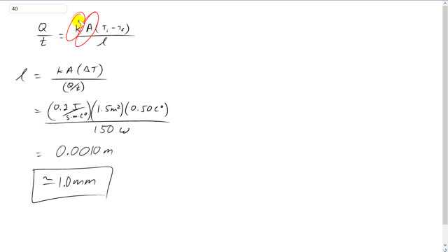
This is Giancoli Answers with Mr. Dychko. The rate of heat conduction is the thermal conductivity of the human tissue or a skin tissue times the area times the temperature difference between the two points. So, this is a temperature of the capillaries minus the temperature of the surface of the skin and divided by the distance from the capillary to the surface. And so we'll solve for l and multiply both sides by l and divide both sides by Q over t. And you end up with l equals kA Δ temperature divided by Q over t. So, that's 0.2 joules per second meter Celsius degree, thermal conductivity of skin, times 1.5 square meters times 0.5 Celsius degree, temperature difference between the capillary and the surface of the skin, divided by 150 watts, total rate of heat transfer by conduction outside of the skin. And that's 0.0010 meters which is about 1.0 millimeters.
