
In order to watch this solution you need to have a subscription.
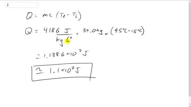
This is Giancoli Answers with Mr. Dychko. The heat gained by a substance is its mass times the specific heat capacity times the final temperature minus the initial temperature. So, that's 4,186 joules per kilogram Celsius degree for water specific heat capacity times its mass of 34 kilograms times the final temperature of 95 degrees Celsius minus the initial temperature of 15. And that gives about 1.1 times 10 to the 7 joules required to raise this temperature that much.
