
In order to watch this solution you need to have a subscription.
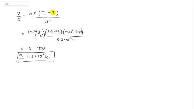
This is Giancoli Answers with Mr. Dychko. The rate of heat transferred by conduction through the window will be the thermal conductivity of glass times the window's area times the difference in temperature between inside and outside divided by the thickness of the window. So, that's 0.84 joules per second meter Celsius degree times its area of 2 meters times 1.5 meters. And then it's 15 degrees inside the window and minus the negative 5 degrees Celsius outside and divided by 3.2 times 10 to the minus 3 meters thickness of the window. And that gives about 1.6 times 10 to the 4 or watts is the rate of heat transfer by conduction.
