
In order to watch this solution you need to have a subscription.
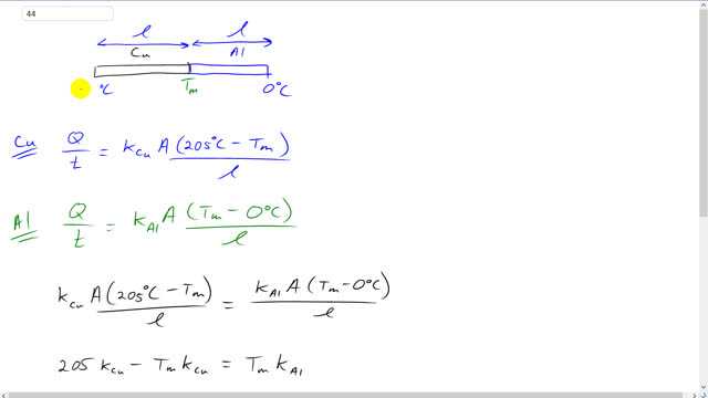
This is Giancoli Answers with Mr. Dychko. We have this copper segment of this long rod, is placed in a furnace at 205 degrees Celsius, and then it's touching this aluminum portion of the rod which is maintained at 0 degree Celsius on the other end. Now, they're both of equal lengths, l, and they both have the same cross sectional area which is nice. And so when we have l and when we have A in our formulas for rate of heat conduction, we don't put any subscripts on them. And the rate of heat conduction across the copper has to be the same as the rate of heat conduction across the aluminum because if that was not true then the temperature would be changing somewhere. And we assume that this is in a steady state so that this has been at 205 degrees Celsius for a long time, and this end has been at 0 degree Celsius for a long time. And so there's. So, everything is stabilized. And so there's no changes in temperature happening anymore anywhere along this length. And so the rate of heat transfer at every point has to be the same now. So, Q over t then is the thermal conductivity of copper times its cross sectional area times the temperature of one end, 205 degrees Celsius, minus the temperature in the middle. And then the rate of heat transfer across aluminum is the same Q over t, but here it equals the thermal conductivity of aluminum times cross sectional area times the temperature in the middle minus the other end of 0 degrees, and that's divided by its length. And since these are equal to each other, that's why we can write this. And the A's cancel and the l's cancel as well. And we have thermal conductivity of copper times 205 minus the temperature of the middle times the thermal conductivity of copper equals the temperature of the middle times thermal conductivity of aluminum because this get multiplied by 0 and that didn't change anything. So, all we're left with on the right side is Tm kAl. So, we'll take this term to the right side making a positive, factor out the Tm for temperature middle and then switch the sides around. And we have temperature middle times the sum of the thermal conductivities equals 205 times thermal conductivity of copper. And so divide both sides by this bracket, kl plus kcu. And we have 205 times thermal conductivity of copper, 280 joules per second meter Celsius degree, divided by thermal conductivity of aluminium, 200, plus that of copper, 380. And this gives 130 degrees Celsius must be the temperature of the middle point there.
It's actually:
205(225) / 200+380 for the last part I think he messed up accidentally

