
In order to watch this solution you need to have a subscription.
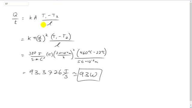
This is Giancoli Answers with Mr. Dychko. The heat conduction rate along this rod is equal to the thermal conductivity times the rod's cross sectional area times the difference in temperature between the two ends of the rod divided by the length of the rod. So, we have area is π times its rods radius or diameter divided by 2 squared. And this is going to be 380 joules per second meter Celsius degree, thermal conductivity of copper, times π times the diameter of 2 times 10 to the minus 2 meters, that's converting the centimeters into meters by multiplying by 10 to the minus 2. Divide that diameter by 2 to get radius and then square. And then times by 460 degrees Celsius at one end minus the 22 degrees Celsius at the other end divided by the 56 centimeter length or 56 times 10 to the minus 2 meters. And that gives about 93 watts as the rate of heat transfer by conduction along the rod.
