
In order to watch this solution you need to have a subscription.
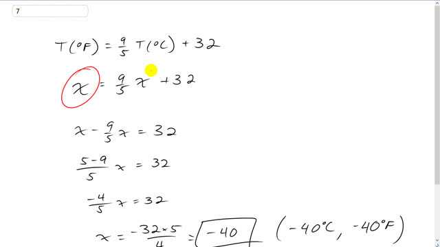
This is Giancoli Answers with Mr. Dychko. The temperature in degrees Fahrenheit equals 9/5 times the temperature in degrees Celsius plus 32. And if the Fahrenheit and the Celsius are both the same, let's give them the same letter x, same variable. And then we'll solve for whatever x should be such that the temperatures are the same. So, we'll move this to the left hand side by subtracting 9/5 x from both sides. And then we can multiply this by 5 over 5, and that makes 5 minus 9 all over 5 times x equals 32. That's negative 4 over 5 x is 32. And multiply both sides by 5 over 4 negative. And that gives negative 32 times 5 over 4 which is negative 40. So, at negative 40 degrees Celsius you're also going to get the same reading on the Fahrenheit scale of negative 40 degrees.
