
In order to watch this solution you need to have a subscription.
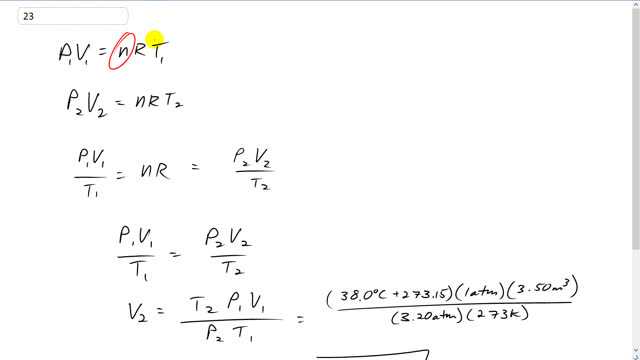
This is Giancoli Answers with Mr. Dychko. Initially at standard temperature and pressure you have p1 times v1, pressure 1 times volume 1, equals n R times t1, this is the number of moles times the ideal gas constant times the initial temperature. And then you have the same ideal gas law applying in the second case after the temperature rises and the pressure rises. And we can solve for v2 because we know that p1 v1 over t1 is n R. You can divide both sides of this by t1. And you have the exact same quantity of gas in the container after you've squished it. And so p2 v2 over t2 is also equal to n R. And so that makes these two things equal to each other p1 v1 over t1 equals p2 v2 over t2. So, we can multiply both sides by t2 over p2. And then leaving us with v2 on the right end and then this t2 over p2 gets multiplied by the stuff on the left. Then switch the sides around. So, we have v2 equals t2 times p1 v1 over p2 times t1. And the only thing to keep in mind is that temperatures always have to be expressed in kelvin and pressures are absolute pressures. So, the STP conditions standard temperature and pressure, the pressure is not 0, it's 1 atmosphere, that's the absolute pressure. The gauge pressure is 0 but the absolute pressure is 1 atmosphere. And we multiply that by 3.5 times 10 to the, or, sorry, times 10 to the nothing, 3.5 meters cubed for the initial volume. And then the temperature is 38 degrees Celsius plus 273.15 to conversion into kelvin. And divide that by 3.2 atmospheres. And we can leave these pressures in units of atmospheres because the only important thing is that they're the same unit so that they cancel, no need to change them into pascals. And then the temperature at STP conditions is 273 kelvin. And this makes 1.25 cubic meters as the final volume.
