
In order to watch this solution you need to have a subscription.
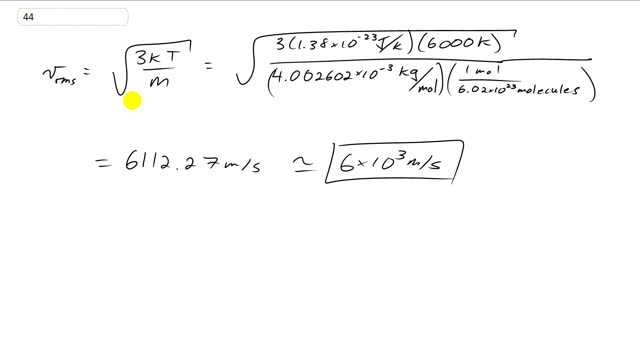
This is Giancoli Answers with Mr. Dychko. The rms speed of helium atoms near the surface of the Sun is given by this formula square root of 3 times Boltzmann's constant times the absolute temperature divided by the mass of a single molecule. So, that's 3 times 1.38 times 10 to the minus 23 joules per kelvin times 6,000 degrees kelvin at the surface of the Sun. And then we look at the periodic table of elements in the back cover of the textbook and we see 4.002602 written for helium for its atomic mass, and that's grams per mole. So, we'll multiply it by 10 to the minus 3 kilograms per mole and then we want this to be the mass of a molecule, though, and this number here is the mass of a mole of molecules. So, we'll multiply it by 1 mole for every 6.02 times 10 to the 23 molecules. And this gives us the number of kilograms per molecule. And this works out to 6 times 10 to the 3 meters per second, only 1 significant figure is appropriate because this temperature only has 1 significant figure.
