
In order to watch this solution you need to have a subscription.
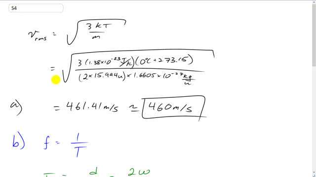
This is Giancoli Answers with Mr. Dychko. The rms speed of an oxygen molecule at 0 degrees Celsius is gonna be square root 3 K T over m the molecular mass, m, and the absolute temperature, T, in kelvin. So, square root of 3 times Boltzmann's constant, 1.38 times 10 to the minus 23 joules per kelvin times by 0 degrees Celsius plus 273.15 to convert it into kelvin, and divide by 2 times 15.99 for atomic mass units times 1.6605 times 10 to the minus 27 kilograms per atomic mass unit. And that gives us the number of kilograms per molecule. And that's a molecule. Oxygen is diatomic which means it has 2 atoms for every molecule. So, that's why we multiplied by 2 there this gives 460 meters per second. Now, to find the frequency of going back and forth in this room 1 cycle is a round trip. So, the room is 5 meters wide. And 1 cycle is when you start here and end in the same place. So, it's gonna travel the total distance of 10 meters in 1 cycle. And frequency is 1 over period, periods easier to think about. So, we have the total time it takes to do this round trip is going to be the total distance divided by the average speed that it has along this axis in this direction, X. And that's going to be 2 times the width of the room divided by this average speed in the X direction. So, it's important to think about just the X direction because these gas molecules have no preferred direction of motion, they're moving in all directions X, Y and Z and they're moving in three dimensions. And what we can calculate, though, is the rms speed based on this formula over here. And, well, when I write it this way rms squared really that's the mean squared velocity is what that is. And that means we were taking, where we're adding together the average in each dimension using Pythagoras. The magnitude of, you have Vx and then you have the... My goodness, what am I getting into here. So, we have a three-dimensional drawing here and we have some component along the X direction, Vx. And some component along the Y direction, Vy, these are all averages. And then some component in the vertical direction. And then the resultant is this one, this is the average speed. And the magnitude of this squared is going to be the sum of the squares of each leg here. OK. So, now, there's no preferred direction for these gas molecules. And so the average speed in the X direction is going to equal the average speed in the Y direction, that's gonna equal the average speed in the Z direction as well. And sure if you square them, it makes no difference either. So, this means that V rms squared is going to be could be 3 times the average speed squared in one direction, X direction for example. So that makes Vx squared equal to V rms squared over 3 and so Vx is V rms over square root of 3. I have to take the square root of both sides. And so the period is 2 times the width of the room divided by Vx which is the same as multiplying by its reciprocal, so, multiplied by square root of 3 over V rms. And then frequency is a reciprocal over the period. So, that's V rms over 2 root 3 times the width of the room. So, that's 461.41 meters per second divided by 2 times square root of 3 times 5 meters which is 27 hertz.
