
In order to watch this solution you need to have a subscription.
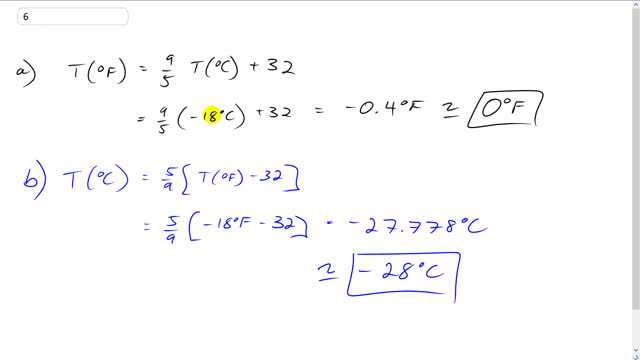
This is Giancoli Answers with Mr. Dychko. 18 below on the Celsius scale, multiplied by 9/5 and then add 32, gives about negative 0.4 degrees on the Fahrenheit scale. But this should be precise only to the ones place because this number is precise to the ones place. And so this is essentially 0 degrees Fahrenheit. And then negative 18 degrees Fahrenheit after you take away 32 and then multiply by 5/9, gives negative 28 degrees Celsius.
