
In order to watch this solution you need to have a subscription.
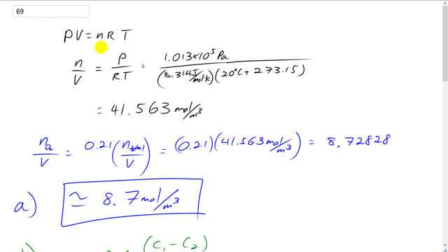
This is Giancoli Answers with Mr. Dychko. We can find the concentration of all the air molecules in moles per cubic meter by solving this for n over V and dividing by V R T on both sides. And we have n over V is pressure over R T so, this is atmospheric pressure because it's, you know, in the atmosphere outside the insect, divided by 8.314 joules per mole kelvin. And times by the absolute temperature in kelvin, 20 degree Celsius plus 273.15. And that gives 41.563 moles per cubic meter, and this is moles of all the different gases in the air. And if we want to have just the number of moles of oxygen per cubic meter, we multiply this by 0.21 because 21% of these are oxygen molecules. So, 0.21 times 41.563 is 8.7 moles per cubic meter. And in part b it says, calculate the rate of diffusion. So, we have the diffusion constant for oxygen, 1 times 10 to the minus 5 meter squared per second times by the cross sectional area of a trachea in the insect, 2 times 10 to the minus 9 square meters times by the difference in concentrations., and we're told that inside the insect the concentration is half what it is outside. So, we have 8.728 moles per cubic meter minus 8.728 divided by 2. And divide that by the distance or the length of a trachea which is 2 millimeters or 2 times 10 to the minus 3 meters. And that gives 4 times 10 to the minus 11 moles per second diffuse across or through the entire trachea. And the time it takes for that to happen, for a single molecule to get from outside the trachea and then inside 2 millimeters it's going to be the... Well, this is, I've derived this formula in a solution for number 38 here and starting, starting. Well, starting way up here, I guess. Yeah. So, check that out. Or look at it the example in the textbook, it also derives this equation. So, the time it takes for diffusion to happen is the average concentration divided by the differences in concentration between two points times the distance between them squared divided by the diffusion constant. So, the average concentration is the concentration outside plus the concentration inside divided by 2 say. And the concentration inside is half what it is outside and this works up to 3/4 C1. This top becomes 2 over 2 C1 plus C1 over 2 which is 3 C1 over 2. And then this whole thing is itself divided by 2. So, 3 C1 over 2 divided by 2 is the same as multiplying by the reciprocal of 2 which is 1/2, and then this makes 3 C1 over 4. Then the difference in concentration. So, trying to substitute something better into the denominator there C1 minus C1 over 2 which is 1/2 C1. So, substituting 3/4 C1 plus for C average divided by 1/2 C1 for the difference in concentrations, C1's cancel and this makes 3 over 2. Multiply top and bottom by 2 here and 2 cancels with the 4 to reduce it, to make it 2 there. And then the 2 cancels with this 2 entirely on the bottom. And so 3 over 2 times Δx squared over d is the time. So, 3 over 2 times 2 times 10 to the negative 3 meters squared divided by a diffusion constant of 1 times 10 to the minus 5 square meters per second gives about 0.6 seconds.
