
In order to watch this solution you need to have a subscription.
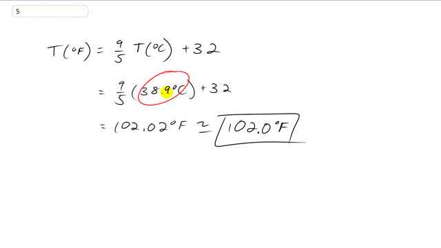
This is Giancoli Answers with Mr. Dychko. Temperature in degrees Fahrenheit is 9/5 times the temperature in degrees Celsius plus 32. So, if the thermometer says you have a fever at 38.9 degrees Celsius. Multiply that by 9/5 and then add 32 and you get 102.0 degrees Fahrenheit.
