
In order to watch this solution you need to have a subscription.
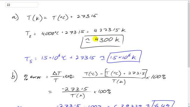
This is Giancoli Answers with Mr. Dychko. Temperature in kelvin is Celsius temperature plus 273.15. So, the temperature in the center of the earth is 4,000 degrees Celsius plus 273.15 which is about 4,300 kelvin. And in the Sun it's 15 times 10 to the 6 degrees Celsius plus 273.15 which has no real effect because this is such a big number that adding 273 to it doesn't really change the number within our, you know, precision that we have here. So, we just write 15 times 10 to the 6 kelvin. And then the percent error is going to be the temperature in Celsius minus the temperature in kelvin divided by the temperature in kelvin we're dividing by the kelvin temperature instead of the Celsius temperature because this is like the more correct one. kelvin is the more rigorous scale to use, it's the SI unit for temperature. So, we'll take Celsius minus the reference like the better one and divide by that better temperature. So, temperature Celsius minus temperature in Celsius plus 273.15 makes negative 273.15 over the temperature in kelvin times 100%, gives 100% error. So, for the earth temperature it's going to be negative 273.5 divided by the kelvin temperature of the center of the earth. And that gives about negative 6.4%. So, if you mistakenly state your answer in Celsius you're going to be 6.4% lower than it should be for kelvin. And then for percent error for the Sun is going to be about negative 1.8 times 10 to the minus 3%. And so it's not a big deal if you state the center of the Sun's temperature in Celsius instead of kelvin because the percent error is quite small.
