
In order to watch this solution you need to have a subscription.
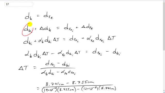
This is Giancoli Answers with Mr. Dychko. So, the diameter of the brass plug has to equal the diameter of the iron ring. So, the diameter of the brass plug will be its initial diameter plus its change in diameter and has to equal the initial diameter of the iron plus its change in diameter. And substituting for the changes here we have the coefficient of linear expansion for brass times the initial diameter of the brass times the change in temperature. And likewise for change in diameter of the iron, we have the coefficient of linear expansion for iron times the irons initial diameter times Δt. And our job is to solve for Δt. So, we'll bring the two terms that have Δt together on the left side. So, we'll bring this to the left side which makes it minus and we'll bring this to the right hand side making it minus. And then we end up with the next line here. And we're gonna factor out Δt and then divide by the bracket that were left with and that bracket is gonna be this one. So, we're gonna solve for Δt by saying that it's the difference in initial diameters divided by α for brass times brass initial diameter minus coefficient linear expansion for iron times its initial diameter. So, that means Δt is 8.741 centimeters initial diameter for the iron ring minus 8.755 centimeters initial diameter the brass plug divided by 19 times 10 to the minus 6 coefficient of linear expansion for brass times 8.755 centimeters minus 12 times 10 to the minus 6 coefficient of linear expansion for iron times its initial diameter of 8.741 centimeters. And that gives here's negative 227.816 Celsius degrees. So, the final temperature is going to be the initial temperature plus this change. So, that'll be 15 degrees Celsius plus the negative 227.816 Celsius degrees which gives about negative 210 degrees Celsius. And this has I rounded it to 210 instead of 213 because this enumerator will have only two significant figures which makes this only having two in figures, that's 230. And so this is precise to the tens place. And so the best precision we can have in our answer is the tens place as well.
