
In order to watch this solution you need to have a subscription.
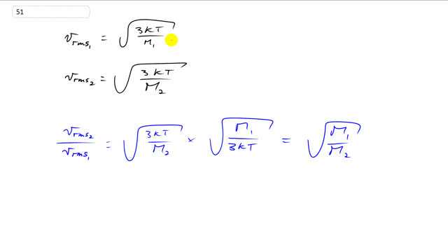
This is Giancoli Answers with Mr. Dychko. V rms1 is going to be square root of 3 times Boltzmann's constant times temperature divided by the molecular mass of the first atom. And this M is usually a lowercase m but I'm writing a capital M because that's what they did in that question here. And this is the mass of a single molecule which is molecular mass. So, V rms2 is going to be square root of 3 K T over molecular mass of the second type of stuff. So, a V rms2 divided by V rms1 it's going to be square root 3 K T over M2, that's V rms2. And when dividing by V rms1 I'm going to instead multiply by its reciprocal so that we can see more easily how things cancel. And we have 3 K T here and square root of 3 K T here, they cancel and we're left with square root M1 over M2. So, the speed, rms, of the second thing divided by the rms speed of the first type of material is going to be the square root of M1 over M2. So, that's the inverse ratio of the molecular mass square rooted.
