
In order to watch this solution you need to have a subscription.
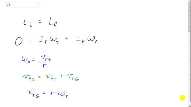
This is Giancoli Answers with Mr. Dychko. The thing that makes this question tricky is everything has to be measured in the same reference frame so with respect to the same thing. Usually we measure speeds with respect to the ground but we are given the speed of this person running with respect to the turntable which is in turn moving with respect to the ground so to sort that out, we need to remember what we learned in chapter 3 about relative velocities and we need to know that the angular velocity of the person is going to be the velocity of the person with respect to the ground divided by the radius of the turntable. So velocity of the person with respect to the ground is the velocity of the person with respect to the turntable which is what we're given plus the velocity of the turntable with respect to the ground. And with these inner subscripts being the same, that's how we know that this is going to work out to the velocity of the person with respect to the ground. Well we can further work on this formula by saying velocity of the turntable with respect to the ground is the turntable's angular velocity times its radius and the clue that tells us that we should do this is that we have to find ω T— that's the question— and so anytime we can make that variable appear is probably a good thing to do that. So we can rewrite ω P then angular velocity of the person as they are running around the edge of the turntable equals the person with respect to the turntable which we know plus rω T instead of V TG because we don't know the velocity of the turntable with respect to the ground and this will be the velocity of a point on the edge of the turntable with respect to ground nor do we care about it we can write it as r—radius of the turntable—times the turntable's angular velocity both of these well at least r we know and ω T is what we have to find so it's good to make it appear and that's divided by r. So well we can divide both terms by r and we get angular velocity of the person is the person's velocity with respect to the turntable divided by the radius of the turntable plus angular velocity of the turntable. So then we rewrite this momentum formula which says that the total initial momentum which is zero because everything's at rest equals the total final momentum; angular momentum is conserved. So if it was zero to begin with, it must be zero afterwards as well and so we have angular momentum of the turntable plus angular momentum of the person and then I'm gonna substitute for ω P and that's what I have done here. So we have moment of inertia of the turntable plus its angular velocity plus moment of inertia of the person times the velocity of the person with respect to the turntable divided by the radius of the turntable plus moment of inertia of the person times the angular velocity of the turntable. And so we'll collect the two turntable terms with the angular velocity here and you have angular velocity factored out multiplied by moment of inertia of the turntable plus moment of inertia of the person and then this term can go to the left side making it minus and then we also switch the sides around. So we have negative I Pv PT over r and then divide both sides by this bracket and we have angular velocity of the turntable is negative I Pv PT divided by r times I T plus I P. So we have... treating the person as a point mass, their moment of inertia is gonna be the mass of the person times their distance from the axis of rotation which is the center of the turntable and so that would be radius of the turntable because they are running on the edge and so negative m Pr squared times v PT divided by r times I T plus m Pr squared. And this r cancels with one of the r's on top and here's the formula we are going to plug numbers into. So the angular velocity of the turntable would be negative 65 kilograms—mass of the person—times the diameter of the turntable divided by 2 so that's 5.5 meters over 2 times 4 meters per second— velocity of the person with respect to the turntable surface— divided by 1850 kilogram meter squared— moment of inertia of the turntable— plus 65 kilograms times the radius again squared and that gives negative 0.31 radians per second and the negative means that the turntable is rotating in the opposite direction as the person's angular velocity.
Hello Mr. Dychko, I was wondering if you had an explanation for problem 76?
