
In order to watch this solution you need to have a subscription.
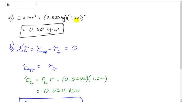
This is Giancoli Answers with Mr. Dychko. The moment of inertia of a point particle is its mass times its distance to the pivot squared and so that's 0.350 kilograms times 1.2 meters squared which is 0.50 kilograms meter squared. And the torque applied... well, we know that the net torque is gonna have to be zero because it's going at constant velocity and so the net torque is the applied torque minus the frictional torque due to air friction and so these two must be equal to each other— in terms of magnitude anyhow, they are in opposite directions of course. So the frictional torque is the frictional force times the pivot or the lever arm distance to the pivot and so that's 0.020 newtons times 1.2 meters which is 0.024 newton meters and that's also the applied torque.
