In order to watch this solution you need to have a subscription.
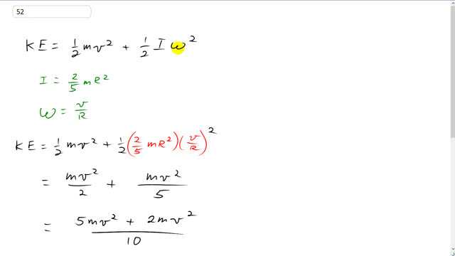
This is Giancoli Answers with Mr. Dychko. This bowling ball has both translational kinetic energy as well as rotational kinetic energy so we'll need to substitute for the moment of inertia I and express this angular velocity in terms of linear velocity because we are given, you know, the translational or also known as linear velocity so we have to rewrite ω in terms of that. And we are also given the radius but we will notice that it cancels conveniently. So I'm rewriting this kinetic energy formula with substitutions for I and ω. So we have one-half mv squared plus one-half two-fifths mR squared— this is the moment of inertia for a sphere— and then times by v over R in place of the angular velocity and that gets squared and the R squared's cancel and we have mv squared over 2 plus these 2's cancel so we have mv squared over 5 and make a common denominator by multiplying top and bottom by 5 here and multiply top and bottom by 2 here and we get 5mv squared plus 2mv squared all over 10. So that's 7mv squared over 10 and we plug in 7.25 kilograms times 3.10 meters per second squared times 7 over 10 gives 48.8 joules of kinetic energy.
