In order to watch this solution you need to have a subscription.
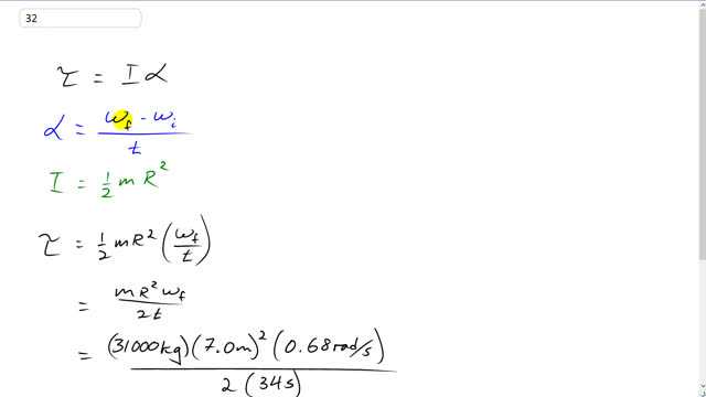
This is Giancoli Answers with Mr. Dychko. Torque is moment of inertia times angular acceleration and so we have to figure out each of these things in order to calculate the torque. So α, the angular acceleration, is the final angular velocity minus the initial angular velocity divided by the time it takes to change the velocities and we know all that information: it starts from rest and achieve some final angular velocity of 0.68 radians per second and then I we can write as one-half mass times radius squared, that's the moment of inertia for a solid cylinder, which is the same idea as a... what is it referred to... as a uniform disk. So we'll substitute for I, one-half mR squared and for α writing just as ω f over t and then the torque then is mR squared ω f over 2t. So that's 31000 kilograms times 7 meters squared times 0.68 radians per second divided by 2 times 34 seconds and that gives about 1.5 times 10 to the 4 newton meters is the net torque required to accelerate this merry-go-round.
