
In order to watch this solution you need to have a subscription.
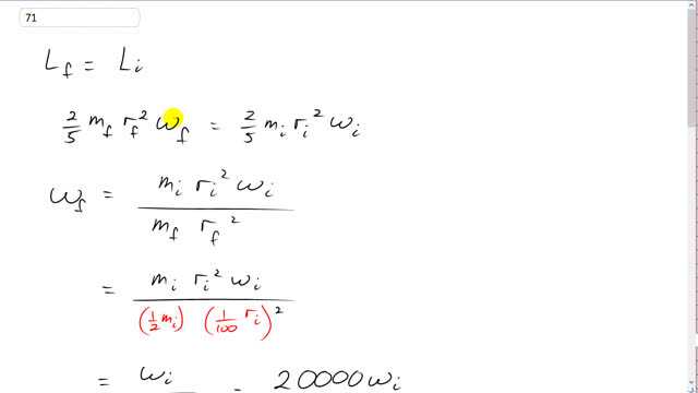
This is Giancoli Answers with Mr. Dychko. We are told that after the Sun collapses into a white dwarf the angular momentum remains constant because of the material that goes away does not carry any angular momentum with it I guess so we have conservation of angular momentum. So the moment of inertia final times the final angular velocity equals the initial moment of inertia times the initial angular velocity. And we have the moment of inertia formula for sphere is two-fifths times mass times radius and we have final mass, final radius, final angular velocity on the left and we have initial mass, initial radius and initial angular velocity on the right. So the two-fifths cancel and we can divide both sides by r f squared times m f and we have final angular velocity then is m ir i squared ω i divided by m fr f squared. The final mass we are told is about one-half the initial mass and the final radius is 1 percent or one-one hundredth of the initial radius. So the r i squared's cancel on top and bottom and the m i's also cancel top and bottom and we are left with one-half times 1 over 100 squared which is same as ω i divided by 1 over 20,000 which is 20,000ω i. So to write down what I just said, it's always easier to instead of dividing by a fraction to multiply by its reciprocal so what we have here is ω i times the reciprocal of this denominator so this denominator is one-half times 1 over 10,000 which is 1 over 20,000. So multiplying by the reciprocal of 1 over 20,000 is the same as multiplying by 20,000 over 1 and so that's how we come up with this. Now converting that or putting some numbers in there and converting the units, we have 20,000 times 1 revolution for every 30 days initially and that works out to 666.667 revolutions per day afterwards and then converting it into radians per second multiply by 2π radians per revolution and 1 day for every 24 hours and then 1 hour for every 3600 seconds and you get about 5 times 10 to the minus 2 radians per second— that would be this number here. Okay! And expressing the final kinetic energy in terms of the initial, easier to do that by dividing the two kinetic energies and that's one-half final moment of inertia times final angular velocity squared divided by one-half initial moment of inertia times initial angular velocity squared and the one-halves cancel and we can substitute for the angular or sorry the moment's of inertia there for a sphere: two-fifths mr squared the two-fifths cancel and we'll substitute for the final mass being one-half the initial mass and substitute for the final radius being one-one hundredth of the initial radius and the m i's cancel top and bottom, the r squared's cancel top and bottom and we are left with one-half times 1 over 100 squared which is 1 over 20,000 which multiplied by 20,000 squared makes just 20,000 and the ω i's cancel as well. So we end up having that the final kinetic energy is 20,000 the initial kinetic energy.
