
In order to watch this solution you need to have a subscription.
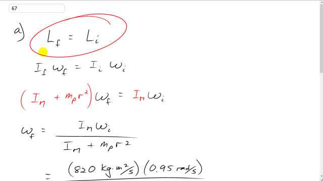
This is Giancoli Answers with Mr. Dychko. As this person walks from the middle of the merry-go-round to the edge, there is no external net torque acting on the system so the angular momentum is staying constant. Any forces involved in moving this person from the middle to the edge are internal to the system. So that means moment of inertia final times final angular velocity equals moment of inertia initial times angular velocity initial. So the moment of inertia final after the person moves to the edge is gonna be the moment of inertia of the merry-go-round plus the moment of inertia of the person which we'll treat as a single point mass going around in a circle of radius r— radius of the merry-go-round— so that's mass person times radius merry-go-round squared. And the initial angular momentum is just that of the merry-go-round because since the person is in the middle, their radius or the distance from the axis of rotation is zero so m pr squared will be zero in this case initially. So we can solve for ω f by dividing both sides by I M plus m pr squared and then we substitute in some numbers and we get that the final angular velocity is 820 kilogram meter squared per second— moment of inertia of the merry-go-round— times—its initial angular velocity of— 0.95 radians per second and divide that by 820 plus 75 times 3 squared and that gives 0.52 radians per second will be the angular velocity after the person moves to the edge. So because the moment of inertia has increased when they move to the edge, their angular velocity has to compensatingly decrease by the same factor by which the moment of inertia increased. in order for this product of moment of inertia and angular velocity to remain the same, before and after. Okay! So kinetic energy—before and after; initially, the person's at the middle so the moment of inertia just that of the merry-go-round so we have kinetic energy initial is one-half times 820 kilogram meter squared per second times 0.95 radians per second squared which gives 370 joules. And then after the person moves to the edge, the thing that changes is the formula for moment of inertia now is that of the merry-go-round plus the contribution of the person on the edge and then times their angular velocity squared which is now the different one our answer to part (a) the slower angular velocity when the person reaches the edge. So one-half times 820 plus 75 times 3 meters times 0.52107 radians per second squared gives us 202.29566 and we'll need two significant figures in that. So we could write 200 but that would be ambiguous as to how many significant figures that had so I have to write 2.0 times 10 to the 2 joules, there we go!
Hello Mr. Dychko,
I just would like to point out that while you entered the correct formula into the calculator, in the written equation you forgot to square 3.0m in the last part of part "B".
Thank you for your work!
