
In order to watch this solution you need to have a subscription.
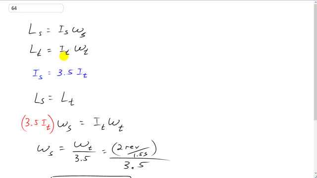
This is Giancoli Answers with Mr. Dychko. The angular momentum of the diver in the straight position is their moment of inertia in the straight position times the angular velocity in the straight position. And then in the tucked position, it's I t times ω t. Now the moment of inertia in the straight position is 3.5 times the moment of inertia in the tucked position we are told and we know that the angular momentum is conserved because there's no external net torque's on this system and so we can equate L s and L t. And rewriting L s as 3.5 times I t in place of I s, we have that times ω s equals I tω t the moment of inertia tuck cancels and divide both sides by 3.5 as well and we get that the angular speed when they are in the straight position will be 2 revolutions per 1.5 seconds divided by 3.5 which gives 0.38 revolutions per second. So when they are in the straight position, they will be rotating more slowly.

