
In order to watch this solution you need to have a subscription.
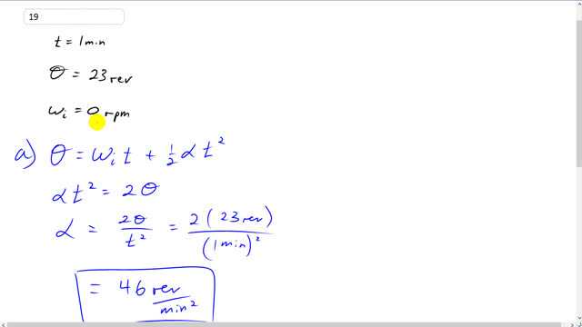
This is Giancoli Answers with Mr. Dychko. We are told that within 1 minute, this centrifuge goes through 23 revolutions and it starts with an angular velocity of 0 rpm and accelerates uniformly up to some final angular velocity that we have to figure out in part (b). But first in part (a), let's find the angular acceleration and we'll use this formula that says the angular displacement equals the initial angular velocity multiplied by time plus one-half times angular acceleration times time squared. Now there's no initial angular velocity because it starts from rest so this term disappears and then we can multiply both sides by 2 to get this line here, also switching the sides around, and we get α times t squared equals 2 times Θ and then divide both sides by t squared and you get that angular acceleration is 2 times angular displacement over time squared. So that's 2 times 23 revolutions divided by 1 minute squared and I have not converted the revolutions into radians nor have I converted the minute into seconds; normally I would but in this question it says in the end, give answers in 'rpm' so kinda suggests that just part (b) is in rpm but let's make that apply to both because it's easier to not convert them so we have 46 revolutions per minute squared. And then for the final angular velocity, we'll use this formula. There's other formulas that we could use that incorporate this angular acceleration but when possible, you should avoid using any numbers that you have calculated in case those numbers happen to be wrong; using original data from the question in your formulas is best so we'll choose this formula here instead of something else. So we have angular displacement is the average angular speed times time and there's no initial angular speed so that part is zero there so we just have... we're multiplying both sides by 2 as well here, we get 2 times angular displacement is the final angular speed times time. And switching the sides around and dividing both sides by t, we get final angular velocity is 2 times angular displacement divided by time so we have 2 times 23 revolutions divided by 1 minute and we get the same numerical value 46 but in this case, it represents revolutions per minute, rpm.
