
In order to watch this solution you need to have a subscription.
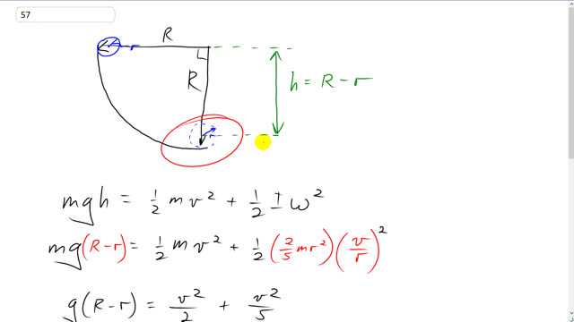
This is Giancoli Answers with Mr. Dychko. At the top of this circular track, the ball has no kinetic energy and it has only gravitational potential energy and at the bottom of the track, it has no gravitational potential energy because we'll take the center of the ball's mass to be the zero position and it has all kinetic energy of two types: one being translational kinetic energy and the other one is rotational kinetic energy. So to figure out the gravitational potential energy at this position, we need to know how high it is above our reference level and since the reference level is here at the center of the ball, the center of mass at the beginning is a distance radius of the track minus this radius of the ball there. So if the ball is... if we consider this distance here to the bottom of the track from where it started, that's a distance R and then we have to go back up this distance r to get to our reference level so that's R minus r. So that's what we'll substitute in for h and then we just copy one-half mv squared there and then add to that one-half times the moment of inertia of a sphere which is two-fifths times its mass times its radius squared times the angular velocity written instead as v over r translational velocity divided by radius that's still squared from the formula. And lots of things cancel: the mass cancels because it appears in every term, the r squared's cancel here and the 2's cancel leaving us with v squared over 5 from this term v squared over 2 here and g times R minus r and collecting these two terms together, we have multiplying this by 5 over 5 and this by 2 over 2 to make a common denominator 10 we have 5v squared plus 2v squared over 10 which is 7v squared over 10 equals g times R minus r after we switch the sides around and then multiply both sides by 10 over 7 and then take the square root of both sides and you get v is square root 10g R minus r over 7 square rooted.

