
In order to watch this solution you need to have a subscription.
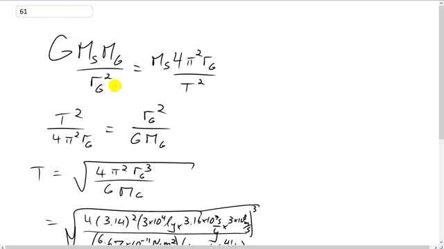
This is Giancoli Answers with Mr. Dychko. Here's the gravitational force on the Sun due to the center of the galaxy. It's mass of the Sun times mass of the galaxy divided by the distance to the center of the galaxy squared and that equals the centripetal force on the Sun which is mass of the Sun times its centripetal acceleration. And I have rewritten this centripetal acceleration instead of writing v squared over r, I have written it as 4 π squared r divided by T squared because we can substitute 2πr in place of v divided by T; this is circumference of the Earth's orbit, or sorry, the Sun's orbit around the center of the galaxy, divided by its period that gives speed and then we'll square that and divide by r and this becomes 4π squared; would be r squared but it's gonna be r just because it's r squared divided by r and then T squared and that's what I have written here. And then, we'll take the reciprocal of both sides and cancel away the mass of the Sun and then we are left with this line here after we switch the sides around to have the unknown on the left. And then multiply both sides by 4π squared times distance to the center of the galaxy and then take the square root of both sides and you end up with distance to the center of the galaxy cubed here because it's 1 here times r G squared makes r G cubed and we have the period then of the Sun's orbit of the center of the galaxy is gonna be 4 times π squared times the number of light-years converted into meters. So we are told that a light-year equals 3 times 10 to the 8 meters per second—speed of light— times the number of seconds per year and this gives the number of meters per light year so meters per light year times light years gives meters and that gets cubed divided by gravitational constant times the estimated mass of the galaxy, 4 times 10 to the 41 kilograms, and square root that whole thing; well, this many seconds times 1 year for every 3.16 times 10 to the 7 seconds and that's about 1.8 times 10 to the 8 years, or 180 million years for the Sun to go around the galaxy once.
