
In order to watch this solution you need to have a subscription.
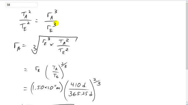
This is Giancoli Answers with Mr. Dychko. The period of this asteroid Icarus squared divided by the period of Earth's orbit around the sun squared equals the average distance of the asteroid cubed divided by the average distance of the Earth from the Sun cubed and we can solve for r A by multiplying both sides by r E cubed and then take the cube root of both sides and we get the average distance of the asteroid from the Sun. Now, the cube root of the radius of the or distance from the Earth to the Sun cubed is the distance from the Earth to the Sun. And then these can be thought of as a single fraction T A over T E squared and then when we take the cube root of that that's the same as saying, T A over T E to the power of 2 divided by 3. The index of a radical or, in another words, the number that's in this elbow or of like a square root sign, that number can become the denominator of a fraction for an exponent; that's one of the rules of radicals from mathematics. So if you have the nth root of x is the same as x to the power of 1 over that index. And this makes it a more convenient form to plug into your calculator - we can go exponent of a fraction easily, more easily than the index of a radical on a calculator and I'll show you that over here. So, we have the, to the power of 2 divided by 3. So, we have 1.50 times 10 to the 11 meters for the distance from the Earth to the Sun times 410 days—period of the asteriod— divided by 365 and a quarter days— orbital period of the Earth— to the power of 2 over 3. And notice I didn't change the days into seconds; often, we change our units into meters, kilograms and seconds, mks units. But I didn't bother this time because I know the days are gonna divide by days and since they are the same unit, they are gonna cancel anyways so it doesn't matter what the units are. And, here we have it, 1.6 times 10 to the 11 meters is the distance from the Sun to the asteroid. So, it's not much further away than the Earth is.
