
In order to watch this solution you need to have a subscription.
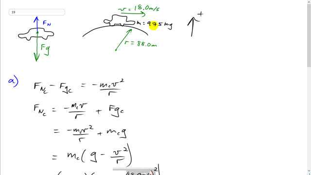
This is Giancoli Answers with Mr. Dychko. This car is passing over the top of a hill with a radius of 88.0 meters and the car is going at 18 meters per second and has a total mass of 975 kilograms, including the mass of the driver. We'll take up to the positive direction. Here's a free-body diagram of the car; gravity is a longer arrow downwards because it's accelerating down, it's gonna be going it's going to the right and down as it goes along this curve and there's a normal force going upwards. So, the normal force on the car upwards minus the gravity on the car down equals mass times acceleration; acceleration, in this case, is negative v squared over r because it's centripetal acceleration and it's negative because it's directed downwards. And we'll solve for the normal force in the car; we'll subtract or sorry, add force of gravity to both sides and we get F N C equals negative M c v over r plus F g c. And substitute for force of gravity in its mass of the car times the gravitational field strength, g and then factor out the common factor, M c—mass of the car— and we get mass of the car times g minus v squared over r. I switched the order of the g and the v squared over r around just because it's nice to have a positive thing first and then minus the other thing. So, v squared over r here. So, we have 975 kilograms times 9.8 newtons per kilogram minus 18 meters per second squared divided by 88 meters and that gives 5970 newtons is the normal force exerted on the car by the ground. And then for the driver, the free-body diagram is exactly the same; we could have, you know, put a little stick figure in place of this car and it would be the exact same picture; you would have a normal force up and a longer gravity force down. And the only difference is that we have subscript D for driver instead of c for car. So the formula works out to be the same. And we'll just substitute in different numbers; 62 kilograms instead of 975 kilograms and we get 379 newtons is the normal force exerted on the driver by the seat of the car. And then for figuring out what speed would the car need in order to have zero normal force on the driver? Well, here I have copied the normal force formula on the driver here. This happens to be the same speed, by the way. as for zero normal force on the car too. With this equaling zero, then you can divide both sides by mass of the driver; when zero divided by mass of the driver is still zero so we end up with g minus v squared over r equals zero. And so you can take this term to the right hand side to make it positive; switch the sides around and you get this line here. And then multiply both sides by r and take the square root of both sides and you end up with v equals square root of the radius of the hill times the acceleration due to gravity So that's square root of 88 times 9.8 so let's figure that out. Square root of 88 times 9.8 and we get 29.4 meters per second is the speed of the car it would have to just barely not have any normal force on the driver as it goes over the top of this hill. So you start feeling butterflies in your stomach if you are going over the hill at this speed, which is how many kilometers an hour - it's 105 kilometers an hour.
in which condition Normal Force becomes 0?
