
In order to watch this solution you need to have a subscription.
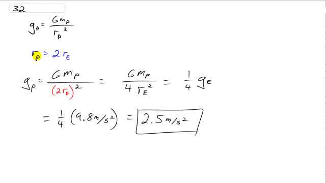
This is Giancoli Answers with Mr. Dychko. The acceleration due to gravity on any planet is the gravitational constant, capital G times the mass of the planet divided by the radius of the planet squared. We are told that the radius of this hypothetical planet is two times the radius of Earth. So we will substitute 2 r E in place of r P and copy everything else from this formula. And, we will square that 2 r E on the bottom and we get four times r E squared and this business here, G m P over r E squared is the acceleration due to gravity on Earth—g subscript E. So we have one-quarter g on Earth is going to be the acceleration due to gravity on this planet. That's going to be one-quarter of 9.8, which is 2.5 meters per second squared; acceleration due to gravity on this other planet.
