
In order to watch this solution you need to have a subscription.
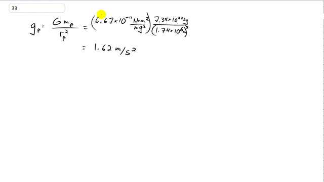
This is Giancoli Answers with Mr. Dychko. Acceleration due to gravity on any planet or moon is the universal gravitational constant, capital G, times the mass of the planet divided by the radius of the planet squared. So in this case, we'll use the mass of the moon—7.35 times 10 to the 22 kilograms and divide that by the radius of the moon— 1.74 times 10 to the 6 meters and square that multiplied by the gravitational constant— 6.67 times 10 to the negative 11 newton meter squared per kilogram squared to get the acceleration due to the gravity on the moon of 1.62 meters per second squared.
