
In order to watch this solution you need to have a subscription.
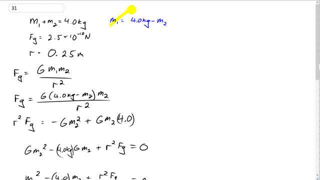
This is Giancoli Answers with Mr. Dychko. We know the force of gravity between two objects is 2.5 times 10 to the minus 10 newtons. Their total mass is 4 kilograms, which makes the mass of one of them 4 kilograms minus the other. And the separation between the two objects is 0.25 meters. So, here's the gravity formula. Gravitational constant, G, times m 1 times m 2 divided by the distance between them squared. And we can substitute 4 minus m 2 in place of m 1, based on that. And then we'll multiply everything into this bracket here. So, we have G times 4 kilograms and m 2 times 4 kilograms to get this term. And then we have, G times negative m 2 and then m 2 times negative m 2 to get this term, negative G m 2 squared. And, also multiply both sides by r squared so we get rid of the denominator. So, we have r squared F g on the left side, and then we are going to move everything to the left side. So, this term goes over here and becomes positive, G m 2 squared, and then this term goes over there as well and becomes negative, minus 4 kilograms times G m 2 plus r squared F g equals zero. And the reason we did this is because it now has the quadratic form and we can use the quadratic formula to solve it. We'll divide this by capital G, well, everything by capital G, say divide both sides by capital G although on the right side, it just becomes zero over capital G, which is zero. And then that makes our substitution into the quadratic formula, a little bit cleaner because the coefficient for the squared term is just 1. So, this is the quadratic form, where a is the number 1 and b is negative 4 and c is the result of all this stuff. So, we have 0.25 meters and we square that times 2.5 times 10 to the minus 10 newtons— gravitational force— divided by—the constant of gravity— 6.67 times 10 to the negative 11 newtons meter squared per kilogram squared which I didn't write but I suppose I should. You should always write down units in your working and then you get this and that's gonna be the letter c, in the quadratic formula. So, let's solve for the unknown which is m 2, and it's gonna be positive 4 because it's the opposite of whatever the sign b is. Plus or minus, 4 squared minus 4 times a which is 1 times this constant term c, 0.23426. And all that divided by 2 times a which is 1. And that gives 3.94 kilograms for mass 2, in which case, mass 1 is 4 minus that which is 0.06 kilograms.
For the two values of m2 that you calculated from the quadratic equation, how do you know that m2 is the larger value and not the other value from the quadratic equation?
