
In order to watch this solution you need to have a subscription.
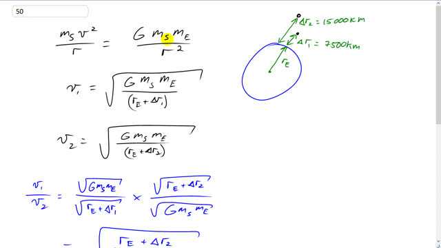
This is Giancoli Answers with Mr. Dychko. We have that the centripetal force on the satellite is provided by gravity. So, m v squared over r equals g times mass of the satellite times mass of the Earth over distance from the center of the Earth to the satellite squared. Now, the distance from the center of the Earth is gonna be the radius of the Earth plus this distance above the surface of the Earth. So, we'll call that delta r 1 for the satellite 1, the close one, and that's 7500 kilometers, above the surface. And then delta r 2 is 15000 kilometers, above the surface. And we can do some algebra on this to solve for what the speed should be. We can multiply both sides by r, and that turns this into r to the power of 1. And divide both sides by mass of the satellite and then take the square root of both sides to solve for v. And so we have v, for the close satellite, is square root G Well, it looks like we made a slight mistake here but it doesn't actually affect the answer which is interesting. So, this mass of the satellite disappears because it ends up canceling down here. Anyway. So, we have this is correct. We have, in the first case, the speed of the satellite is square root G mass of the Earth divided by the total distance from the center of the Earth and the satellite. So that's radius of the Earth plus this distance above the surface. And then, for satellite 2, it's the same idea with delta r 2. And then taking the ratio of those velocities, you go v 1 divided by v 2. We can think of the square root as, on the top and on the bottom, separately and then it becomes more clear that this thing cancels with this thing although neither of them contain the mass of the satellite as it turns out but either way. So, we are doing this division of a fraction is the same as multiplying by its reciprocal is what else is going on here. So, dividing by v 2 is the same as multiplying by the reciprocal of v 2. So multiplying by the denominator put on top and the numerator is put on the bottom. And then these square root G mass of the Earth factors, cancel and we are left with the ratio of the velocities is the same as the square root of the distance from the center of the Earth, for each of these. So square root of 6.38 times 10 to the 6 meters—radius of the Earth—plus the distance above the surface of the Earth for the far satellite, which is 15000 times 10 to the 3 meters divided by 6.38 times 10 to the 6 plus 7500 times 10 to the 3 meters and that gives 1.2. So, the close satellite is 1.2 times as fast as the far satellite because we could rewrite this as v 1 equals 1.2 times v 2. And so there's an algebraic way of saying that, or arithmetic way of saying that v 1 is faster than v 2. But you can also think of it in a different way. You can say the close satellite has to be faster because since the acceleration due to gravity is greater here, closer to the Earth, but it means, it has more of a tendency to go down; it's falling faster, and so it has to scoot to the side faster in order to avoid colliding with the Earth. That's another way to think about it.
